Why Rent Agreements are Created Only for 11 Months?
60-Second Summary
- In India, rent agreements are commonly drafted for 11 months to avoid mandatory registration under the Registration Act, 1908.
- This practice developed historically because landlords wanted more flexibility and protection in tenancy arrangements.
- Short-term agreements make it easier for both landlords and tenants to renew or modify rental terms.
- The agreement is still legally valid if it meets contract requirements under the Indian Contract Act, 1872.
- Important laws governing rental agreements include the Registration Act, Transfer of Property Act, and Indian Contract Act.
- Proper clauses such as rent amount, notice period, maintenance, and security deposit are essential.
- Stamp duty must still be paid even if the agreement is not registered.
- Digital platforms like Digilawyer help create legally compliant rent agreements quickly and conveniently
Introduction
In India, most residential rental contracts are drafted for 11 months, which often confuses both landlords and tenants. Many people wonder why the agreement is not made for a full year or longer. The reason lies in legal requirements, cost considerations, and the need for flexibility in rental arrangements.
Short-term agreements help landlords avoid complex registration procedures while allowing tenants to relocate more easily when needed. However, people often struggle with understanding the legal validity, stamp duty rules, and required clauses in such agreements. This blog explains why 11-month rent agreements are common, the laws governing them, and how platforms like Digilawyer simplify the process.
👉 Read More: Guide to E-Stamping for Rent & Lease Agreements
Why is an 11-Month Rent Agreement Common in India?
Rent agreements are commonly drafted for 11 months instead of 12 months or longer. This was developed due to legal requirements and practical convenience for landlords and tenants. We have explained the key reasons in detail.
➤ Historical and Legal Practice
Traditionally, property rentals in India were governed by various state Rent Control Acts, which heavily protected tenants and made eviction difficult for landlords. Landlords began using shorter lease durations, such as 11 months, to avoid falling under long-term tenancy protections that could limit their control over the property. Over time, the 11-month agreement became an industry norm across many cities like Delhi, Mumbai, Bengaluru, and Hyderabad.
➤ Avoiding Mandatory Registration
Under the Registration Act,1908, any lease agreement longer than 12 months must be compulsorily registered with the local sub- registrar's office. Registration usually has additional steps, such as getting the rent agreement registered. By limiting the agreement to 11 months, both the landlord and tenants are saving the extra cost that comes with registration.
➤ Flexibility for Both Landlords and Tenants
A short- term agreement is more flexible for the landlord and tenant, as the landlord can revise the rent based on the market conditions when the agreement is renewed and retain more control of the property. For tenants, it gives them the flexibility to move out easily and relocate for any personal or work-related reason. Also, it helps them to avoid being tied to a long- term financial commitment.
➤ Simpler Renewal Process
The renewal process is easier and more straightforward. Many landlords and tenants simply sign a new agreement every 11 months with updated terms and conditions. This helps ensure that the agreement is updated with current rents, rules, and responsibilities.
➤ Faster and more Convenient Documentation
Drafting a short- term rent agreement is easier and quicker. Online services like Digilawyer now allow landlords and tenants to create rent agreements digitally, making the process convenient and more cost-effective.
Legal Laws Related to an 11-Month Rent Agreement
An 11- month agreement in India is a leave- and license contract that is drafted to avoid the mandatory registration under the Registration Act,1908. While these agreements are common across India, they are still governed by several laws related to registration and documentation.
🏠 Read More: Rent vs Lease Agreement in India
➤ Registration Act,1908
This law states that lease agreements that are made for a period of 12 months or more must be compulsorily registered with the local sub-registrar's office. Since an 11-month rent agreement is shorter than one year, registration is usually not mandatory in many cases. However, parties can still choose to register the agreement voluntarily if they want stronger legal proof and additional security.
➤ Indian Contract Act,1872
An 11- month period is treated as a legally binding contract under the Indian Contract Act, 1872. For the agreement to be valid, it must contain the essential elements of a contract, including:
- Offer and acceptance
- Mutual consent of both parties
- Legal Purpose
- Lawful Consideration
Once signed by the landlord and tenant, the agreement becomes legally enforceable, and either party can take legal action if the terms are violated.
➤ Transfer of Property Act,1882
The Act states the general framework for leasing immovable property in India. It defines the relationship between the landlord and tenant and outlines their rights and obligations. Under this law, landlords are responsible for providing lawful possession of the property, while tenants must pay rent on time and use the property according to the agreed purpose. The act also covers situations such as the termination of tenancy and notice of requirements.
Benefits of an 11-Month Agreement for Landlord and Tenants
Aspect | Benefits for Landlords | Benefits for Tenants |
Flexibility in rental terms | Landlords can review the agreement after 11 months and update the rent based on current market rates. It also gives them more control over who occupies their property. | Tenants are not locked into a long-term contract and can move easily if they need to relocate for work, education, or personal reasons. |
Easier agreement renewal | Landlords can renew the agreement with updated clauses, rent changes, or revised property rules without going through complex legal procedures. | Tenants can renegotiate rent, maintenance terms, or other conditions when the agreement is renewed. |
Lower documentation requirements | Short-term agreements usually involve simpler paperwork and may not require mandatory registration in many cases. | Tenants benefit from a quicker documentation process and fewer legal formalities when signing the agreement. |
Faster dispute resolution | A shorter agreement period allows landlords to reassess the tenancy regularly and address any issues at the time of renewal. | Tenants have the option to exit the agreement after the term ends if disputes or problems with the property arise. |
Cost-effective process | Landlords may save on registration costs and administrative efforts when creating short-term rental agreements. | Tenants can avoid additional legal expenses and complicated procedures associated with long-term leases. |
📝 Read More: New Rent Rules 2026
Is an 11-Month Agreement Legal or Not?
Many people believe that an 11-month agreement is not valid or as reliable as a registered one. This is a common misconception people have, but if an 11- month rent agreement is written on proper stamp paper and signed by both the landlord and tenant, it’s generally considered legally valid in India. Such a contract is binding between the parties as long as the rent amount and rules and responsibilities are clearly mentioned.

Previously, Indian courts have accepted unregistered rent agreements in several disputes when the document was properly drafted and signed by both parties. However, a registered rent agreement usually carries stronger legal proof because it’s officially recorded with the government, and it’s recommended to get the agreement registered even when the duration is short. And, if there is any legal dispute between the owner and the tenant, the court may give more value to a registered agreement since it has been verified.
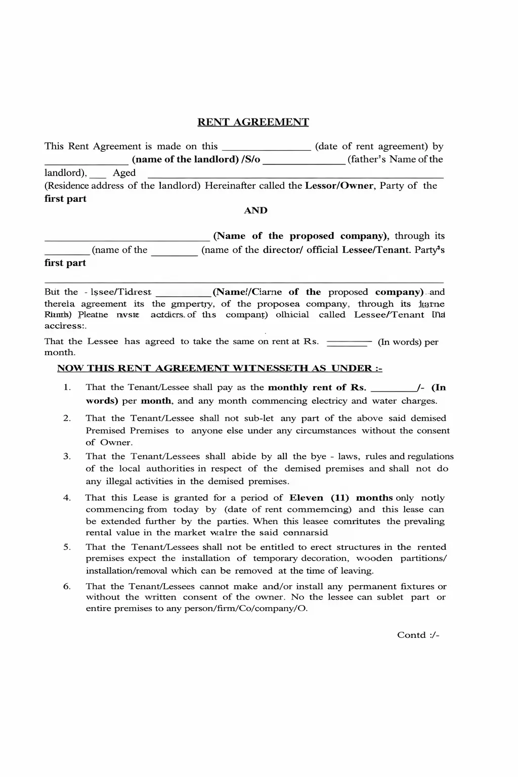
Understanding the Key Clauses of an 11-Month Rent Agreement
An 11-month rent agreement is a short-term rental contract. Since the duration is less than a year, it usually doesn’t require mandatory registration under the Registration Act,1908. However, the agreement must be properly drafted and executed on valid stamp paper to be legally enforceable. We have a complete guide that you can read on the drafting of a rent agreement online.
A well-written 11-month rent agreement includes several important clauses that clearly define the rights, responsibilities, and expectations of both the landlord and the tenant.
Duration and renewal terms- The agreement clearly specifies the rental period, which is usually 11 months. It may also include a renewal clause allowing both parties to extend the agreement after the term ends, often with a rent increase of around 5–10 percent, depending on market conditions.
Notice period and termination- This clause explains how either party can terminate the agreement before the end of the term. In most cases, landlords and tenants must provide a written notice of 1–2 months before moving out or ending the agreement.
Lock-in period- Many rent agreements include a lock-in period, usually around 6 months. During this time, neither the landlord nor the tenant can terminate the agreement without paying a penalty or compensating the other party.
Rent amount and security deposit- The agreement should clearly mention the monthly rent, the due date for payment, and the amount of the security deposit paid by the tenant. It also states the conditions under which the deposit will be refunded when the tenancy ends.
Maintenance and repair responsibilities- This section defines who is responsible for maintaining the property. Typically, tenants handle minor repairs and day-to-day maintenance, while landlords are responsible for major structural repairs or property-related issues.
Usage of property and subletting rules- The agreement usually states that the property is meant only for residential or commercial use. It may also prohibit subletting or renting the property to another person without the landlord’s written permission.
Visitors or Policy- Some agreements include rules about visitors, the duration of their stay, and whether tenants are allowed to keep pets in the property. These conditions help avoid misunderstandings during the tenancy period.
Including these clauses can help to create a clear and legally sound rental agreement, which reduces the chances of any rental problems or disputes between landlords and tenants.
Stamp Duty Rules on 11-Month Rent Agreement
An 11-month rent agreement is generally not mandatory to register under Indian Law, making it a popular choice to avoid high registration fees. However, it must still be executed on stamp paper of appropriate value to be legally valid.
Below are the key stamp duty rules that apply to 11-month rent agreements in India.
Stamp duty is mandatory even if the agreement is not registered. The document must still be executed on appropriate stamp paper or e-stamp paper according to state stamp laws. If a rent agreement is not properly stamped, it may not be accepted as evidence in court unless the required stamp duty and penalty are paid.
Stamp duty for rent agreements is not uniform across India. Each state government determines its own rates. The duty is usually calculated based on annual rent.
In many cities, short-term agreements are often drafted on stamp paper of ₹50 to ₹100 when the agreement is not registered. We have written about it in detail in our rent agreement process.
Notarization is recommended to ensure authenticity.
How Does Digilawyer Help in the Rent Agreement?
Digilawyer has made it easier for landlords and tenants to create legally compliant rental agreements without visiting lawyers or government offices.
Easy online Drafting Process: DigiLawyer allows landlords and tenants to create a rent agreement online by simply filling in basic details like property information, rent amount, and tenant details.
E-stamping Support: Digilawyer helps with the rent agreement on the correct stamp paper value according to state stamp duty rules, ensuring the document is legally valid.
Quick and Simple Process: The process is fast and simple, and you get your rental agreement online without any hassle.
Affordable and Transport Pricing- There are no hidden fees, and the price is affordable and transparent.
FAQ's
In most cases, an 11-month rent agreement is renewed by drafting and signing a new agreement after the original term expires. Some agreements include a renewal clause that allows both parties to extend the tenancy with updated terms. However, landlords and tenants usually create a fresh agreement to reflect changes in rent, security deposit, or other conditions.
Yes, an 11-month rent agreement can be converted into a long-term lease if both the landlord and tenant agree. If the new agreement duration exceeds 12 months, it must be registered at the local sub-registrar's office as required under Indian law. Registration provides stronger legal protection for both parties.
Stamp duty payment depends on the agreement between the landlord and tenant. In many rental arrangements, tenants pay the stamp duty and drafting charges, while in some cases, both parties share the cost. The exact stamp duty amount varies from state to state and is usually calculated based on the annual rent.
In many cases, an 11-month rent agreement can be used as address proof for services such as bank accounts, internet connections, or government documentation. However, some institutions may require a registered agreement or additional documents like utility bills or landlord confirmation for verification.
If the tenant continues to occupy the property after the agreement expires and the landlord accepts rent, the arrangement may be treated as a month-to-month tenancy under the Transfer of Property Act. However, it is always recommended to renew or create a new rent agreement to avoid disputes and clearly define the updated rental terms.
Generally, rent cannot be increased during the active term of an 11-month rent agreement unless a specific clause in the agreement allows it. Most landlords revise the rent when the agreement is renewed after the 11-month period, usually based on market conditions.
While witnesses are not always legally mandatory for short-term rental agreements, having at least one or two witnesses to sign the document is recommended. Witness signatures can strengthen the document’s credibility and help in case of any legal dispute between the landlord and tenant.
Early termination usually depends on the notice period clause mentioned in the agreement. Most rent agreements require a written notice of 30 to 60 days before termination. If either party ends the agreement without notice, they may need to compensate the other party as per the agreement's terms.
Tenant police verification is not always legally mandatory in every state, but it is strongly recommended and required in many cities. Landlords often complete police verification to ensure the tenant’s identity and background are properly verified for security reasons.
To create an 11-month rent agreement online, both parties typically need identity proof such as an Aadhaar card, a PAN card, or a passport, along with property details, rent amount, and security deposit information. Some platforms may also require address proof and passport-size photographs of the landlord and tenant.
- Introduction
- Why is an 11-Month Rent Agreement Common in India?
- ➤ Historical and Legal Practice
- ➤ Avoiding Mandatory Registration
- ➤ Flexibility for Both Landlords and Tenants
- ➤ Simpler Renewal Process
- ➤ Faster and more Convenient Documentation
- Legal Laws Related to an 11-Month Rent Agreement
- ➤ Registration Act,1908
- ➤ Indian Contract Act,1872
- ➤ Transfer of Property Act,1882
- Benefits of an 11-Month Agreement for Landlord and Tenants
- Is an 11-Month Agreement Legal or Not?
- Understanding the Key Clauses of an 11-Month Rent Agreement
- Stamp Duty Rules on 11-Month Rent Agreement
- How Does Digilawyer Help in the Rent Agreement?
- FAQ's










